recherch_xi.mws


Recherches sur l'intégration des équations différentielles aux différences finies, et sur leur usage dans la théorie des hasards.

P.S. Laplace

PROBLEM XI.

Let a be a sum which Paul constitutes to an annuity, in a way that the interest is 1/m of that which is due to him: I suppose that, for some arbitrary reasons, one keeps each year the fraction 1/n of this interest, so that Paul, at the end of the first year, for example, must collect only the quantity a/m-a/(m*n) , this put, if one pays him every year the sum a/m, and, consequently, more than is due to him, and let the surplus be used to amortize the capital, one asks what this capital will become in the year x .

Let y(x) denote this capital in the year x . At the end of the year Paul will be due y(x)(1/m-1/(m*n)) . Since the sum a/m is paid, the capital will be diminished by a/m-y(x)*(n-1)/(m*n) . We have therefore

> restart:

> eqn11:=y(x+1)=y(x)-a/m+y(x)*(n-1)/(n*m);

eqn11 := y(x+1) = y(x)-a/m+y(x)*(n-1)/n/m

The initial condition is y(1) = a . Therefore, the solution is given by

> ans:=rsolve({eqn11,y(1)=a},y(x));

ans := n*m*a/(n*m+n-1)*((n*m+n-1)/n/m)^x-n^2*m*a/(n...

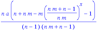
> normal(ans);

n*a*(n+n*m-m*((n*m+n-1)/n/m)^x-1)/(n-1)/(n*m+n-1)

We require when the capital will vanish. That is, for what value of x is y(x) = 0 ?

> vanish:=solve(ans=0,x);

vanish := ln((n*m+n-1)/m)/ln((n*m+n-1)/n/m)

If we substitute, as does Laplace, m = 20 and n = 10 then we find that this occurs in 53.3 years.

> subs({m=20,n=10},vanish);

>

ln(209/20)/ln(209/200)

> evalf(%);

>

53.31140438

Addendum to the problem: A person owes the sum a , and wishes to release himself at the end of h years, so that she owes nothing in the year h+1 the interest being always 1/m of the quantity due; the question is to find what must she give for this each year.

With Laplace, we let p be what she must give each year.

> eqn11a:=y(x+1)=y(x)*(1+1/m)-p;

eqn11a := y(x+1) = y(x)*(1+1/m)-p

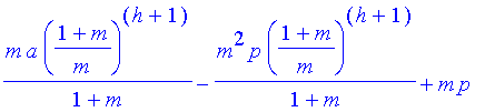
> ans:=rsolve({eqn11a,y(1)=a},y(x));

ans := m*a/(1+m)*((1+m)/m)^x-1/(1+m)*m^2*p*((1+m)/m...

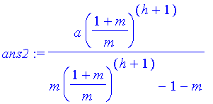
Laplace puts x = h+1 .

> subs(x=h+1,ans);

m*a/(1+m)*((1+m)/m)^(h+1)-1/(1+m)*m^2*p*((1+m)/m)^(...

> ans2:=solve(%,p);

ans2 := a*((1+m)/m)^(h+1)/(m*((1+m)/m)^(h+1)-1-m)

> simplify(%);

((1+m)/m)^h*a/(((1+m)/m)^h-1)/m

>

>