recherch_x.mws


Recherches sur l'intégration des équations différentielles aux différences finies, et sur leur usage dans la théorie des hasards.

P.S. Laplace

PROBLEM X.

If in a pile of x pieces one takes a number at random, it is necessary to determine the probability that this number be even or odd .

Let y denote the sum of the even cases, z the sum of the odd.

> restart:

> eqn1:=y(x+1)=y(x)+z(x);

eqn1 := y(x+1) = y(x)+z(x)

> eqn2:=z(x+1)=z(x)+y(x)+1;

eqn2 := z(x+1) = z(x)+y(x)+1

If there is but 1 piece ( x = 1), then we have the initial conditions y(1) = 0 and z(1) = 1. The solution is therefore

> rsolve({eqn1,eqn2,y(1)=0,z(1)=1},{y,z});

{z(x) = 1/2*2^x, y(x) = 1/2*2^x-1}

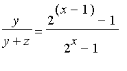
Now, since y is smaller than z , it is clear that the odds are favored. The probability of even is y/(y+z) = (2^(x-1)-1)/(2^x-1) .

>

>