fontaine.mws


Alexis Fontaine's solution to St. Petersburg problem

24 February 2003

Pierre promises to pay Paul 1 écu if he brings forth heads on the toss of a coin, 2 écus if he brings forth heads only on the second toss of a coin, and in general, 2^(n-1)  écus if he brings forth heads only on the n th toss of the coin. The problem is to determine the stake of Paul which makes the game fair.

Let x  be the wealth of Pierre and let y  be the stake of Paul. It is assumed that Pierre puts all of his wealth into the game. The total funds in the game is x+y.

Fontaine notes that the payoff must be bounded by the wealth of Pierre. Indeed, for this reason there exists an integer N  such that if Paul has not brought forth heads by the N th toss, his payoff can be no greater than x . It follows that N  satisfies 2^(N-1) <= x+y  and   x+y < 2^N .

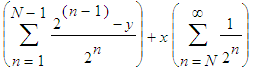
If n <= N , the gain of Paul is 2^(n-1)-y  with probability 1/(2^n) . Otherwise, for N < n , the gain of Paul is x  with probability 1/(2^n) . Therefore the expected gain of Paul is

sum((2^(n-1)-y)/(2^n),n = 1 .. N-1)+x*sum(1/(2^n),n = N .. infinity) .  

Call this expectation A. We have
  

A := 1/2*N+2*y*(1/2)^N-1/2-y+2*x*(1/2)^N

In a fair game this expectation is 0. By the condition above, y < 2^N-x . Therefore, solving A for y  and making use of this condition, we have
  

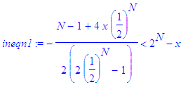
Ay := -1/2*(N-1+4*x*(1/2)^N)/(2*(1/2)^N-1)

>    ineqn1:=Ay<2^N-x;

ineqn1 := -1/2*(N-1+4*x*(1/2)^N)/(2*(1/2)^N-1) < 2^N-x

Simplifying, we obtain that x  is bounded above by

>    solve(Ay=2^N-x,x);

-1/2*N+1/2-2*2^N*(1/2)^N+2^N

This reduces to the bound UB where  

>    UB:=(2^(N+1)-N-3)/2;

UB := 1/2*2^(N+1)-1/2*N-3/2

By the other condition on N , we have that x  is bounded below by

>    solve(Ay=2^(N-1)-x,x);

-1/2*N+1/2-2*2^(N-1)*(1/2)^N+2^(N-1)

This reduces to the bound LB where

>    LB:=(2^N-N-1)/2;

LB := 1/2*2^N-1/2*N-1/2

If we substitute, say, N = 19 , we find that if the wealth of Pierre is bounded by 262134 and 524277.

>    subs(N=19,[LB,UB]);

[262134, 524277]

and for the lower bound of x  we have the corresponding y  of

>    subs({N=19,x=262134},Ay);

10

Similarly, if we substitute N = 21 ,

>    subs(N=21,[LB,UB]);

[1048565, 2097140]

Now, assuming N = 21  and x = 1048565 , we obtain y

>    subs({N=21,x=1048565},Ay);

11

Consequently, we find, as did Fontaine, that if Pierre can put 1,048,565 écus into the game, then Paul must put in 11 écus. The game must end at the 21st toss because if Paul has not cast a heads by this time, then Pierre must give him all his wealth.

If Pierre can put in 262,134 écus, then Paul must put in 10. The game must end at the 19th toss.

>